A report from Nigeria’s Debt Management Office (DMO) has shown that Edo State sunk into scary levels of foreign debt under the administration of Governor Godwin Obaseki.
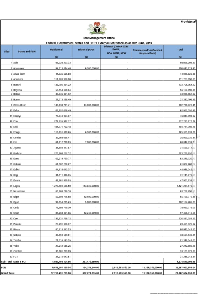
According to the data, Edo State has a foreign debt profile of $276.25m representing 6.53 per cent of the sub-national foreign debt portfolio, a figure second only to Lagos State.
In spite of this rising debt levels however, the Governor, Godwin Obaseki has not been able to make any noteworthy impact since his election in 2016. His three-year governance has seen the state witnessing rising poverty, unemployment, and insecurity rates, with most youths out-of-jobs and at a loss on what to do.
Even more disconcerting is the fact that the debts were acquired in non-transparent deals involved the erstwhile Speaker of the State Assembly, Kabiru Adjoto, who helped the Governor to secure underhand loan deals which were diverted to private accounts, through shady legislative cover and approvals.
In many instances, the Governor’s company, Afrinvest has on record collected percentages for the processing of loans, some of which were not properly documented, according to state officials who spoke to JohnMayaki.com.
This conflict of interest, and determination to get away with underhand and undocumented deals, informs the Governor’s desperation to continue the subversion of the House of Assembly by allegedly installing, Frank Okiye, as Speaker.
There are no clear plans on how Obaseki intends to finance the loans he has acquired, and the state, under his watch, has witnessed a reversal in fortune, especially in the areas of the economy, security and the rule of law.









